自拍流出
欢迎访自拍流出 网站!
学校主站
|
加入收藏
|
主页
自拍流出概况
自拍流出简介
现任领导
机构设置
教学机构
科研机构
行政机构
治理机构
党建工作
组织建设
理论学习
党建活动
工会风采
人才培养
本科生教育
研究生教育
师资队伍
导师风采
教师名录
科学研究
学术动态
科研成果
社会服务
社会培训
展演展览
设计制作
合作交流
志愿服务
校友工作
校友组织
校友活动
校友风采
招生就业
本科生招生
研究生招生
就业指导
主页
自拍流出新闻
自拍流出公告
学术动态
学团工作
教师风采
自拍流出概况
自拍流出简介
现任领导
机构设置
教学机构
科研机构
行政机构
治理机构
党建工作
组织建设
理论学习
党建活动
工会风采
人才培养
本科生教育
研究生教育
师资队伍
导师风采
教师名录
科学研究
学术动态
科研成果
社会服务
社会培训
展演展览
设计制作
合作交流
志愿服务
校友工作
校友组织
校友活动
校友风采
招生就业
本科生招生
研究生招生
就业指导
×
自拍流出公告
当前您的位置:
主页
>
自拍流出公告
>
正文
主页
自拍流出新闻
自拍流出公告
学术动态
学团工作
教师风采
热文排行
自拍流出 “颂五四,歌青春”五四系列活动圆满落幕
自拍流出 师生赴青岛革命烈士纪念馆开展主题党日活动
泰国艺术大学一行暑期访学圆满结束
自拍流出 举行党委理论学习中心组(扩大)学习会暨深入贯彻中央八项规定精神学习教...
徐大连书记来自拍流出 调研督导工作
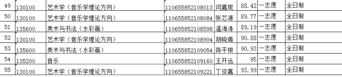
通知| 关于公布自拍流出 研究生复试成绩的通知
发布时间:2025-03-28
浏览量:
各位考生:
现公布2025年自拍流出 研究生复试的成绩。
上一条:公告|关于自拍流出 2025硕士研究生预调剂的通知
下一条:预告| 自拍流出 绘画系“山海画风”研究展